프로그래머스: 더 맵게 - 풀이
포스팅 요약
1. 문제 풀이
2. heapq 에 대하여 (간략하게)
문제풀러가기
https://programmers.co.kr/learn/courses/30/lessons/42626
코딩테스트 연습 - 더 맵게
매운 것을 좋아하는 Leo는 모든 음식의 스코빌 지수를 K 이상으로 만들고 싶습니다. 모든 음식의 스코빌 지수를 K 이상으로 만들기 위해 Leo는 스코빌 지수가 가장 낮은 두 개의 음식을 아래와 같
programmers.co.kr
문제
매운 것을 좋아하는 Leo는 모든 음식의 스코빌 지수를 K 이상으로 만들고 싶습니다. 모든 음식의 스코빌 지수를 K 이상으로 만들기 위해 Leo는 스코빌 지수가 가장 낮은 두 개의 음식을 아래와 같이 특별한 방법으로 섞어 새로운 음식을 만듭니다.
섞은 음식의 스코빌 지수 = 가장 맵지 않은 음식의 스코빌 지수 + (두 번째로 맵지 않은 음식의 스코빌 지수 * 2)
Leo는 모든 음식의 스코빌 지수가 K 이상이 될 때까지 반복하여 섞습니다.
Leo가 가진 음식의 스코빌 지수를 담은 배열 scoville과 원하는 스코빌 지수 K가 주어질 때, 모든 음식의 스코빌 지수를 K 이상으로 만들기 위해 섞어야 하는 최소 횟수를 return 하도록 solution 함수를 작성해주세요.
풀이
1. sort()보다 heapq를 사용하여 min값(혹은 max값)을 구하는 것이 효율성이 더 좋다
코드 (실패: 시간 초과 )
def solution(scoville, K):
scoville.sort()
now=0
cnt=0
if scoville[0]>=K:
return 0
while scoville[0]<K:
now = scoville[0] + (scoville[1]*2)
cnt+=1
if len(scoville)>=3:
scoville=[now]+scoville[2:]
else:
if sum(scoville)<K:
return -1
scoville.sort()
return cnt
코드 (성공)
import heapq
def solution(scoville, K):
heapq.heapify(scoville)
cnt=0
while scoville[0]<K:
if len(scoville)<=1 and scoville[0]<K:
return -1
heapq.heappush(scoville,heapq.heappop(scoville)+(heapq.heappop(scoville)*2))
cnt+=1
return cnt
heapq에 대하여
*완전 이진 트리 자료구조의 일종
heapq.heapify(list): list를 heap으로 변환. (시간 복잡도:O(N))
heappush(list, item): list 안에 item 추가. (시간 복잡도:O(log N))
heappop(list): list에서 가장 작은 원소를 pop/ len(list)=0일 경우 IndexError. (시간 복잡도: O(log N))
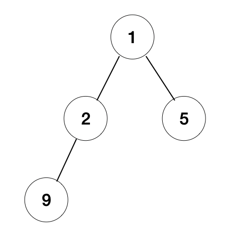
import heapq
list = [5,2,9]
heapq.heapify(list)
print(list) #[2, 5, 9]
print(list[0]) # 2
heapq.heappush(list,1)
print(list) #[1, 2, 9, 5]
print(heapq.heappop(list)) # 1
print(heapq.heappop(list)) # 2
print(heapq.heappop(list)) # 5
print(heapq.heappop(list)) # 9
#print(heapq.heappop(list)) #주석을 뺄 경우 IndexError 발생

최소 힙(min heap)
- 루트노드가 가장 작은 값은 가진다.
- heapq.heappop(list)를 할 경우 가장 작은 값 제거. (루트부터 제거)
최대 힙(max heap)
- 루트노드가 가장 큰 값은 가진다.
- heapq.heappop(list)를 할 경우 가장 큰 값 제거.(루트부터 제거)
heap 에서 부모노드와 자식노드의 관계
왼쪽 자식 Index = (부모 Index)*2
오른쪽 자식 Index = (부모 Index)*2 +1
*구현 하기 쉽게 하기위해 index 0은 사용하지 않는다.
배운점
1. heapq.heapify를 사용하여 list를 heap으로 변환할 경우 list[0]은 무조건 list 원소중 제일 작은 원소.
2. 탐색을 하기위해 사용하지는 않음. (탐색의 경우 BFS 혹은 DFS를 많이 사용)
'코딩테스트 > 코딩테스트 문제' 카테고리의 다른 글
| 코딩테스트 준비 - 프로그래머스: 게임 맵 최단거리 풀이/BFS (파이썬) (4) | 2021.06.28 |
|---|---|
| 코딩테스트 준비 - 프로그래머스: 소수찾기Lv2 풀이/permutations에 대하여 (파이썬) (0) | 2021.06.27 |
| 코딩테스트 준비 - 프로그래머스: 문자열 압축 풀이+상세 (파이썬) (4) | 2021.06.25 |
| 코딩테스트 준비 - 프로그래머스: 3진법 뒤집기(파이썬)/파이썬 진법 계산 (0) | 2021.06.20 |
| 코딩테스트 준비 - 백준1260번 DFS와 BFS 풀이 (파이썬) (0) | 2021.06.15 |
댓글